设置数据集关系
概述
在 Aloudata CAN 中,您可以通过定义数据集与数据集之间的关联关系,来扩充事实表可分析维度或实现多事实表的共享维度分析。
基本概念

上图所示,[商品表] 与 [订单表] 之间存在关系。
-
关联键:商品表 与 订单表 的关系,关联键为 [商品表/商品ID] = [订单表/商品ID]
-
基数关系:指关联键在两个数据集之间的基数关系,图中所示 [商品表/商品ID] 与 [订单表/商品ID] 之间的关系为 1:N
-
商品表 中每个 [商品表/商品ID] 在 订单表 中可以找到多个 [订单表/商品ID] 与其相等;
-
订单表的每个 [订单表/商品ID] 在 商品表 中只能找到唯一一个 [商品表/商品ID] 与其相等。
-
方向:[商品表] 和 [订单表] 之间认为是 [商品表] -> [订单表],根据箭头的方向,我们可以更直接的理解为 [商品表] 中的字段,可以被 [订单表] 直接使用;方向存在传递,比如 [商品大类] -> [商品表] -> [订单表] ,那么在 [订单表] 内是可以直接使用 [商品大类] 中的字段。
-
1端数据集:我们称 [商品表] 是 [订单表] 的1端数据集
-
N端数据集:我们称 [订单表] 是 [商品表] 的N端数据集
操作流程
功能入口
如下图示,进入到数据集关联关系管理界面

新建关联关系

| 内容 | 说明 |
|---|---|
| 关联数据集 | 选择需要关联的数据集: * 当前数据集:当前数据集,不支持用户修改 * 关联数据集:当前数据集关联的数据集 |
| 关联字段 | 设置两个数据集之间的关联关系: * 关联关系: * N:1 :当前数据集为 N 端数据集,关联的数据集为 1 端数据集,当前数据集的关联键 N:1 关联数据集关联键 * 1:1 :当前数据集为 1 端数据集,关联的数据集为 1 端数据集,当前数据集的关联键 1:1 关联数据集关联键 * 关联字段:设置数据集的关联键,支持添加多对关联字段 |
重要
在设置数据集之间的关联关系时,需要考虑一些限制和约束,以确保数据关系的正确性和系统性能的优化。以下是一些常见的限制: 数据类型匹配
限制:关联字段的数据类型必须匹配。
说明:例如,不能将整数类型的字段与字符串类型的字段关联。
唯一性约束
限制:对于一对一(1:1)关系和多对一(n:1)关系,关联字段在一端应具有唯一性约束。
说明:例如,在客户表中,客户ID应具有唯一性,以确保每个订单对应一个唯一的客户。
循环依赖
限制:避免设置循环依赖关系。
说明:循环依赖关系会导致数据关系混乱,影响数据处理和查询性能。目前如果出现循环依赖会报错关系校验失败。
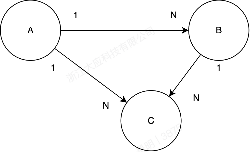
多通路(见图 1)
限制:避免在关联关系中出现多通路。
说明:如果存在多条路径可以到达同一数据集,可能会导致数据结果计算错误。
图 1:多通路

保存
单击关联关系右下角“确定”按钮,保存关联关系。
管理关联关系
完成上述操作后,数据集之间的关联关系已经成功绑定,此时您可以根据业务需要,重新对关联关系进行编辑和删除
编辑关联关系
通过数据集详情页面,关联关系列表右侧的⋮,单击编辑可以对关联关系进行重新编辑

删除关联关系
通过数据集详情页面,关联关系列表右侧的⋮,单击删除按钮会弹出确认删除窗口,单击确认即可删除关联关系
